Muscle Tes Maths 💪

Informatique appliquée au calcul scientifique



L1 - Partie 1 Représentation des nombres en machine

Illustration chapitre

L1 - Partie 2 Intégration numérique

Illustration chapitre

L1 - Partie 3 Affection et mémoire / Rudiment sur les series

Illustration chapitre

L1 - Partie 4 Dichotomie

Illustration chapitre

L1 - Partie 5 Méthode du point fixe

Illustration chapitre

L1 - Partie 6 algorithme de Newton

Illustration chapitre

L1 - Partie 7 Convergence quadratique de l’algorithme de Newton

Illustration chapitre

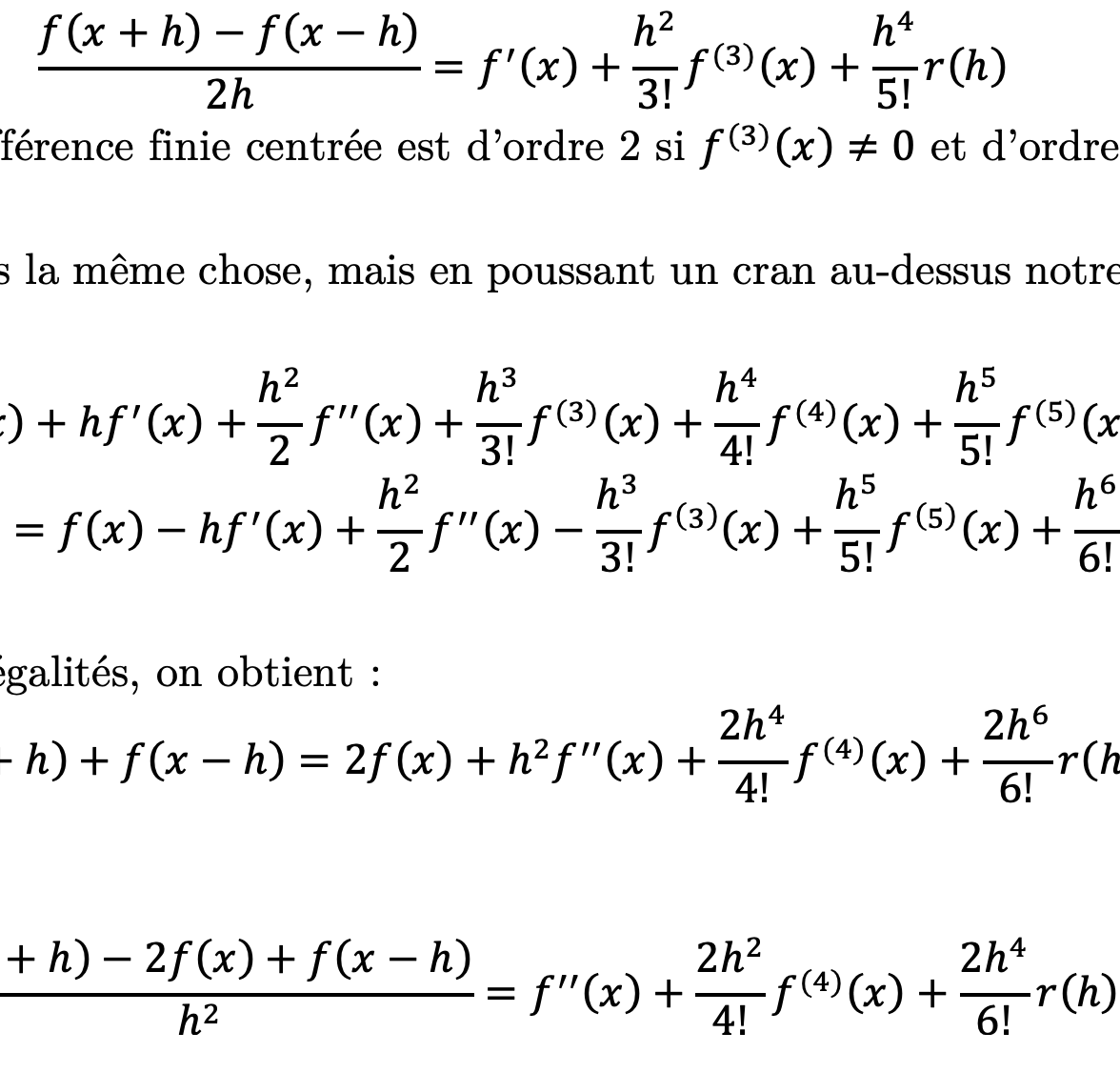
L1 - Partie 8 Différences finies

Illustration chapitre

L1 - Partie 9 Dérivée seconde approchée par des différences finies centrées

Illustration chapitre

L1 - Partie 10 Intégration Numérique par les Méthodes des Rectangles et des Trapèzes

Illustration chapitre

L1 - Partie 11 Approximation du nombre Pi

Illustration chapitre

Illustration chapitre

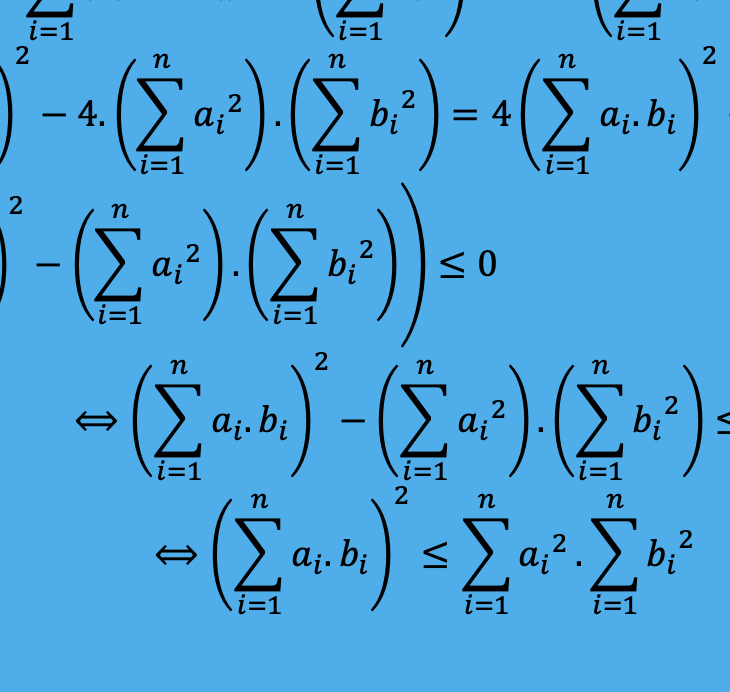
L2 - Partie 2 Inégalité de Cauchy-Schwarz / Droite des moindres carrés

Illustration chapitre

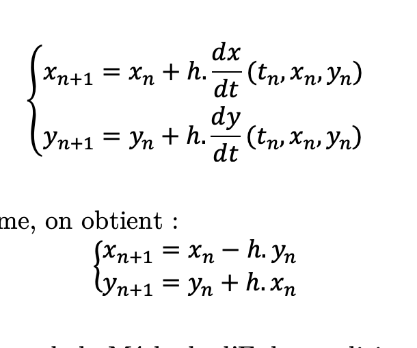
L2 - Partie 3 Équations différentielles ordinaires / Schéma d’Euler explicite

Illustration chapitre

L2 - Partie 4 Projet : Modèle Proie/Prédateur et Équations de Lotka-Volterra

Illustration chapitre

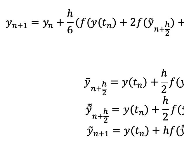
L2 - Partie 5 Schéma “RK4” de Runge et Kutta

Illustration chapitre

L2 - Partie 6 Résolution du système différentiel

Illustration chapitre

L2 - Partie 7 Interpolation de Lagrange et de Hermite

Illustration chapitre

L2 - Partie 8 Résolution de système linéaire : méthode de Gauss

Illustration chapitre

L2 - Partie 9 Splines cubiques – matrice tridiagonale

Illustration chapitre